電磁振動子
在音頻頻率范圍內,電磁振動器自古以來就被用于磁揚聲器或動態電子束,但在超聲波領域開始使用這種振動器的時間并不長,而且現在也沒有被廣泛使用。
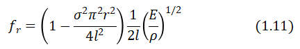
作為可動線圈型振蕩器,St.Clair為用于煙道內集座而設計的最著名。這在本質上與動態揚聲器是相同的原理,作為振動體,在其共振振動頻率中使用支撐中央的圓硬鋁圓柱,其共振振動頻率fr為
被給予
是長度,r是半徑,
是波松比,E是模量,
是密度,Clair時r=7.6cm,
=13cm,所以f是17kc /s。
如圖14所示,振動體Z的下部呈圓形突起,充當一臺機器的語音線圈,但驅動電流不直接通過該線圈,而是通過環繞中心磁極的固定驅動線圈C流動,從而在驅動環上引起電流。在該電流與磁場的相互作用下,振動體受力。在空氣中使用該振蕩器時,其諧振相當尖銳,因此驅動振動頻率必須精確地與之匹配。
而且隨著振動,由于發熱等原因,振動體的諧振振動頻率會稍有變化,因此必須使振蕩電路的振動頻率自動跟隨振動頻率。為此,通過pick up振動體的振動來控制振蕩電路。
這種振蕩器的等效電路類似于動態揚聲器。由于諧振時機械阻抗僅為電阻分rm,因此動阻抗Rm為
B是gap的磁通密度,
是驅動環的長度,n是驅動線圈的機數。為了提高電氣效率,Rm必須變大,rm必須變小。rm的內容是中必部分支承產生的電阻,振動體的內摩擦和寬度射電阻,重要的是減少支承部分的電阻。
在St.Clair的裝置中,n=3.2Ω,B=12500 gauss,共振時(空氣中)氣味Rm=7.37Ω,制動電阻r0=44.7,機電轉換效率69.5%,機械聲學轉換效率43.0%,整體效率30%。
磁致伸縮振蕩器和動圈式振蕩器的驅動電源有時不是真空管振蕩器,而是交流發電機。
以上就是東莞靈科超聲波為大家介紹關于超聲波焊接機的相關信息,如果大家對焊接設備需要更深一步的了解,歡迎致電公司電話:0756-8626887,或者打開公司官網:http://www.3240abc.cn/,我們很樂意為大家服務!
靈科超聲波堅持自主研發,最大力度投入研發設計,擁有一支近30年的研發制造團隊,發明創造170余項專利新技術。主要品牌有LINGGAO靈高、LINGKE靈科、SHENGFENG聲峰等。廣泛運用在醫療器械、電子器材、打印耗材、塑料、無紡布、包裝、汽配等多個領域,為海內外各行業、企業提供了大量穩定性強的優質超聲波塑焊設備及應用方案。